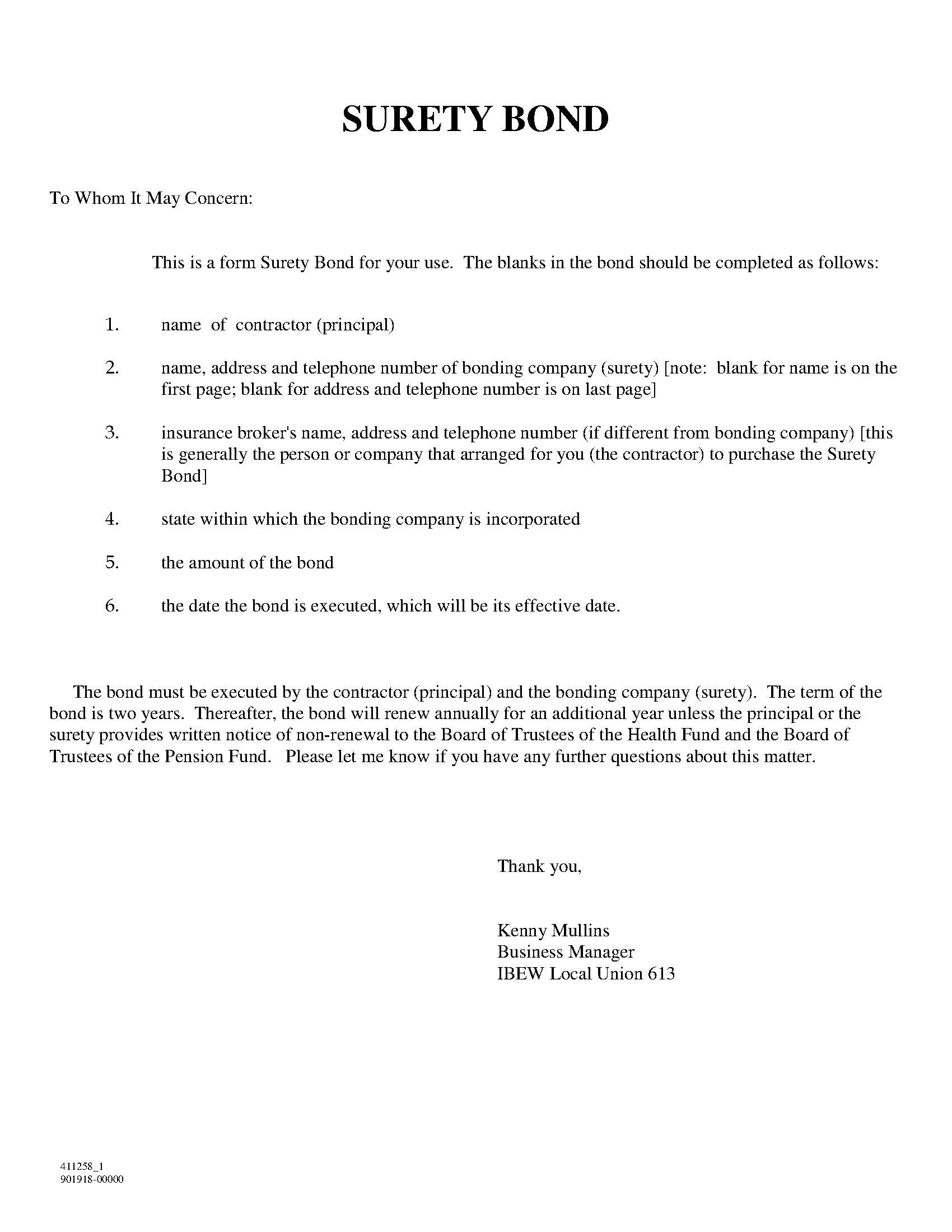
IBEW Local Union 613 Wage and Welfare Bond

The IBEW Local Union 613 Wage and Welfare Bond starts at $100 plus shipping costs and fees. Fill out the form to buy your bond instantly!
Apply for Bond

Bond Terms

State
GA
Bond Name
IBEW Local Union 613 Wage and Welfare Bond
Premium
Starts at $100
Bond Amount
$1,000-$100,000
Term
24 months
Obligee
IBEW Local Union 613

Hear what our customers have to say

BOSS Bonds delivers.

Nationwide Accessibility icon
Accessibility no matter where customers operate in the U.S.
Transparent communication icon
Transparent communication from start to finish
Solutions icon
Solutions based on expert industry knowledge
Customer service icon
Customer service that’s exceptional, consistent and prompt
Competitive Pricing icon
Competitive pricing and best terms

Get started with us today.

Happy man and woman finalizing a car purchase at an auto dealership