
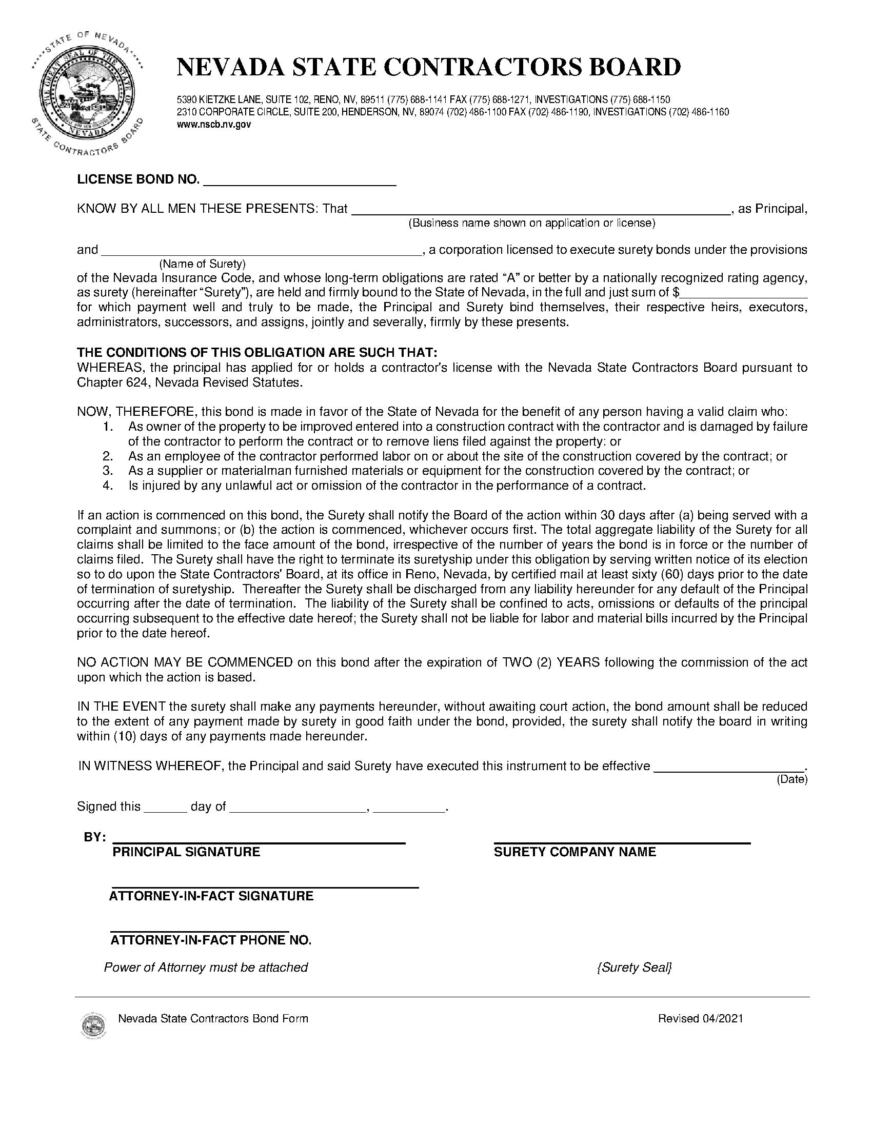
The Nevada State Contractors Board Contractors License Bond (also called the Nevada CLB and the NSCB Contractor License Bond) is a surety bond required by the Nevada State Contractors Board (NSCB) for any contractor applying for a contractor license. The bond ensures contractors adhere to Nevada state regulations and protects the public from fraudulent or illegal acts committed by a licensed contractor.
If the contractor violates their license or state regulations, any injured party can recover damages for real losses by filing a claim on the contractor’s bond. If the contractor does not resolve the claim, and the surety finds the claim valid, the surety will compensate the injured party up to the bond amount. The bond amount for the Nevada CLB can range anywhere from $1,000 up to $500,000, as calculated by the NSCB. This may sound like a typical insurance policy; however, unlike insurance, the principal (in this case, the contractor) is financially responsible for reimbursing the surety for all claims paid out, plus any additional fees and expenses incurred by the surety.
Real losses can include damage to property, financial losses resulting from an improper build,or failure to complete the project within budget or on schedule.
General and specialty contractors who wish to work in the state of Nevada must secure an NSCB Contractor License Bond to meet the requirements to get their state contractor license.
The main classifications for contractor licenses in Nevada include:
You can find more information on license classifications here.
How much you’ll pay for your Nevada State Contractors Board Contractors License Bond will depend primarily on the bond amount required by the NSCB and your credit. The Nevada CLB bond amount varies between $1,000 and $500,000, as determined by the NSCB, based on your credit score, skills, and years of experience.
Thankfully your required bond amount is not equivalent to your premium (what you pay for the bond). While this bond typically requires a credit check, some of the lowest bond amounts may be quoted without a credit check for as low as $100. However, as the bond amount increases, so does the likelihood that your quote will require a soft credit check. If the bond amount you need results in a credit check, individuals with excellent credit may see their quote starting as low as 1-2% of the bond amount.
If you have nonstandard credit and are worried about getting approved for your bond, we encourage you to apply anyways! At EZ Surety Bonds, we work with several surety markets to find you the best quote available and applying is free.
The entity that requires you to have a bond, known as the obligee, for Nevada contractors is the Nevada State Contractors Board. The contact information for northern and southern Nevada is listed below.
Nevada State Contractors Board
Northern Nevada:
5390 Kietzke Lane, Suite 102
Reno, NV 89511
Phone: (775) 688-1141
Email: Bonds@nscb.state.nv.us
Southern Nevada:
8400 West Sunset Road, Suite 150
Las Vegas, NV 89113
Phone: (702) 486-1100
Email: Bonds@nscb.state.nv.us
The bond application process may seem intimidating, but with EZ Surety Bonds, we make applying quick, simple, and free! Apply for your free quote for the Nevada CLB by filling out the short application on our site. Once you have your bond, remember to file it with the obligee in the appropriate manner.
If at any point in this process you have questions, we encourage you to contact our surety experts at 1-866-546-4605 or info@ezsuretybonds.com. We’re here to help!
How to become a licensed contractor in Nevada?
To become a licensed contractor in Nevada, you must:
For more detailed information, check out our comprehensive guide on acquiring your Nevada Contractor’s License here.
How much is a Nevada State Contractors Board Contractors License Bond?
Nevada State Contractors have to post a surety bond with a bond amount between $1,000 and $500,000. In some cases, the bonds with smaller amounts can have a premium as low as $100 without the need for a credit check. If your bond amount is higher and requires a credit check, individuals with optimal credit may see quotes starting as low as 1-2% of the bond amount. Get your surety bond today by filling out the short online application on our website.
I’ve purchased my Nevada CLB; now what?
After purchasing your Contractor License Bond, we will mail the original bond document to you. Most obligees require you to file the original bond, signed by you, directly with them. Depending on the bond and state, filing requirements may vary. Always verify the filing requirements of your obligee before signing the bond or sending it to them.
The Nevada State Contractors Board Contractors License Bond (also called the Nevada CLB and the NSCB Contractor License Bond) is a surety bond required by the Nevada State Contractors Board (NSCB) for any contractor applying for a contractor license. The bond ensures contractors adhere to Nevada state regulations and protects the public from fraudulent or illegal acts committed by a licensed contractor.
If the contractor violates their license or state regulations, any injured party can recover damages for real losses by filing a claim on the contractor’s bond. If the contractor does not resolve the claim, and the surety finds the claim valid, the surety will compensate the injured party up to the bond amount. The bond amount for the Nevada CLB can range anywhere from $1,000 up to $500,000, as calculated by the NSCB. This may sound like a typical insurance policy; however, unlike insurance, the principal (in this case, the contractor) is financially responsible for reimbursing the surety for all claims paid out, plus any additional fees and expenses incurred by the surety.
Real losses can include damage to property, financial losses resulting from an improper build,or failure to complete the project within budget or on schedule.
General and specialty contractors who wish to work in the state of Nevada must secure an NSCB Contractor License Bond to meet the requirements to get their state contractor license.
The main classifications for contractor licenses in Nevada include:
You can find more information on license classifications here.
How much you’ll pay for your Nevada State Contractors Board Contractors License Bond will depend primarily on the bond amount required by the NSCB and your credit. The Nevada CLB bond amount varies between $1,000 and $500,000, as determined by the NSCB, based on your credit score, skills, and years of experience.
Thankfully your required bond amount is not equivalent to your premium (what you pay for the bond). While this bond typically requires a credit check, some of the lowest bond amounts may be quoted without a credit check for as low as $100. However, as the bond amount increases, so does the likelihood that your quote will require a soft credit check. If the bond amount you need results in a credit check, individuals with excellent credit may see their quote starting as low as 1-2% of the bond amount.
If you have nonstandard credit and are worried about getting approved for your bond, we encourage you to apply anyways! At EZ Surety Bonds, we work with several surety markets to find you the best quote available and applying is free.
The entity that requires you to have a bond, known as the obligee, for Nevada contractors is the Nevada State Contractors Board. The contact information for northern and southern Nevada is listed below.
Nevada State Contractors Board
Northern Nevada:
5390 Kietzke Lane, Suite 102
Reno, NV 89511
Phone: (775) 688-1141
Email: Bonds@nscb.state.nv.us
Southern Nevada:
8400 West Sunset Road, Suite 150
Las Vegas, NV 89113
Phone: (702) 486-1100
Email: Bonds@nscb.state.nv.us
The bond application process may seem intimidating, but with EZ Surety Bonds, we make applying quick, simple, and free! Apply for your free quote for the Nevada CLB by filling out the short application on our site. Once you have your bond, remember to file it with the obligee in the appropriate manner.
If at any point in this process you have questions, we encourage you to contact our surety experts at 1-866-546-4605 or info@ezsuretybonds.com. We’re here to help!
How to become a licensed contractor in Nevada?
To become a licensed contractor in Nevada, you must:
For more detailed information, check out our comprehensive guide on acquiring your Nevada Contractor’s License here.
How much is a Nevada State Contractors Board Contractors License Bond?
Nevada State Contractors have to post a surety bond with a bond amount between $1,000 and $500,000. In some cases, the bonds with smaller amounts can have a premium as low as $100 without the need for a credit check. If your bond amount is higher and requires a credit check, individuals with optimal credit may see quotes starting as low as 1-2% of the bond amount. Get your surety bond today by filling out the short online application on our website.
I’ve purchased my Nevada CLB; now what?
After purchasing your Contractor License Bond, we will mail the original bond document to you. Most obligees require you to file the original bond, signed by you, directly with them. Depending on the bond and state, filing requirements may vary. Always verify the filing requirements of your obligee before signing the bond or sending it to them.
