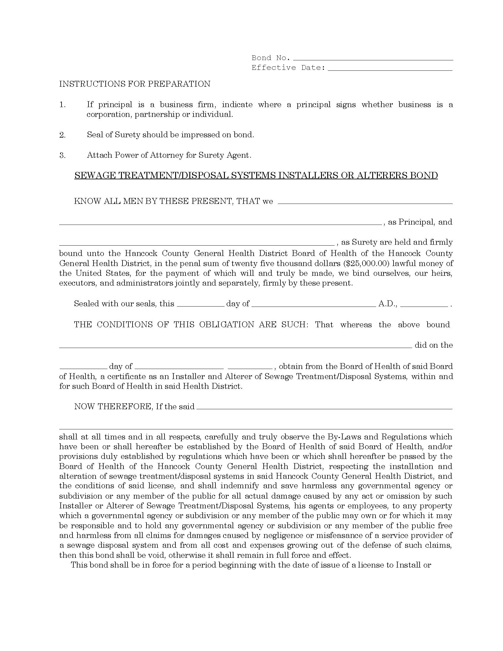
Hancock County General Health District Sewage Treatment/Disposal Systems Installers or Alterers Bond

The Ohio Hancock County General Health District Sewage Treatment/Disposal Systems Installers or Alterers Bond starts at $250 plus shipping costs and fees. Fill out the form to buy your bond instantly!
Apply for Bond

Bond Terms

State
OH
Bond Name
Hancock County General Health District Sewage Treatment/Disposal Systems Installers or Alterers Bond
Premium
$250
Bond Amount
$25,000
Term
Expires 12/31 every year
Obligee
Hancock County General Health District

Hear what our customers have to say

BOSS Bonds delivers.

Nationwide Accessibility icon
Accessibility no matter where customers operate in the U.S.
Transparent communication icon
Transparent communication from start to finish
Solutions icon
Solutions based on expert industry knowledge
Customer service icon
Customer service that’s exceptional, consistent and prompt
Competitive Pricing icon
Competitive pricing and best terms

Get started with us today.

Happy man and woman finalizing a car purchase at an auto dealership