
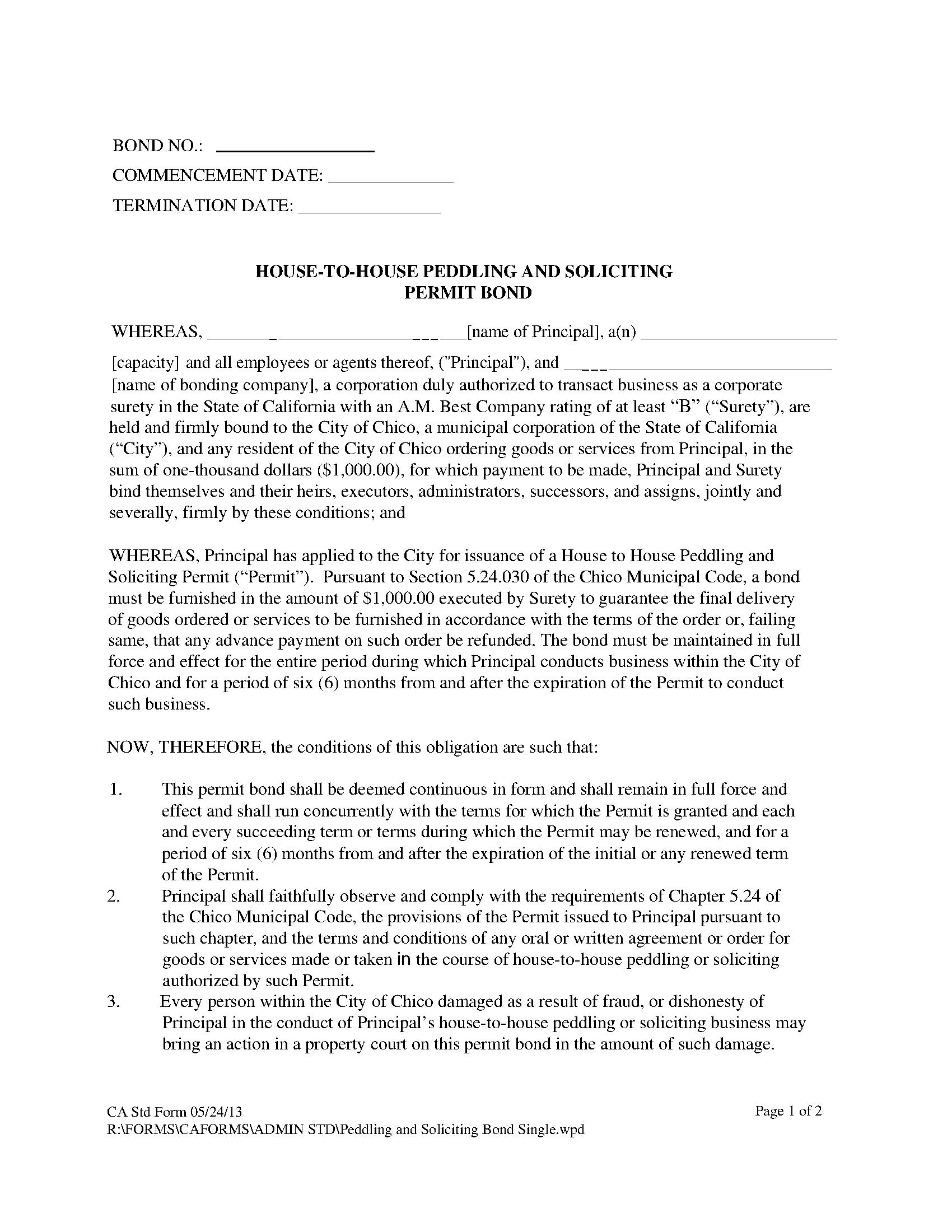
The California City of Chico House-to-House Peddling and Soliciting Permit Bond starts at $100 plus shipping costs and fees. Fill out the form to buy your bond instantly!

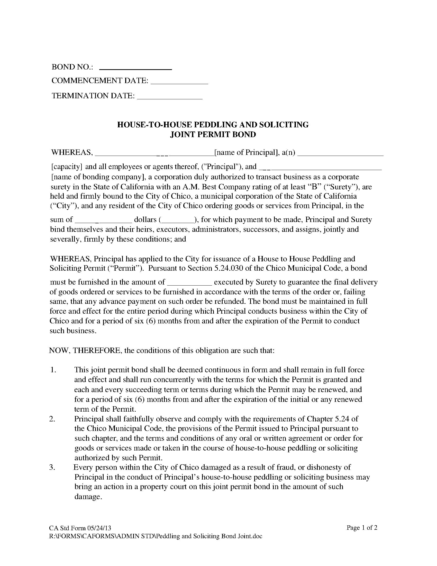
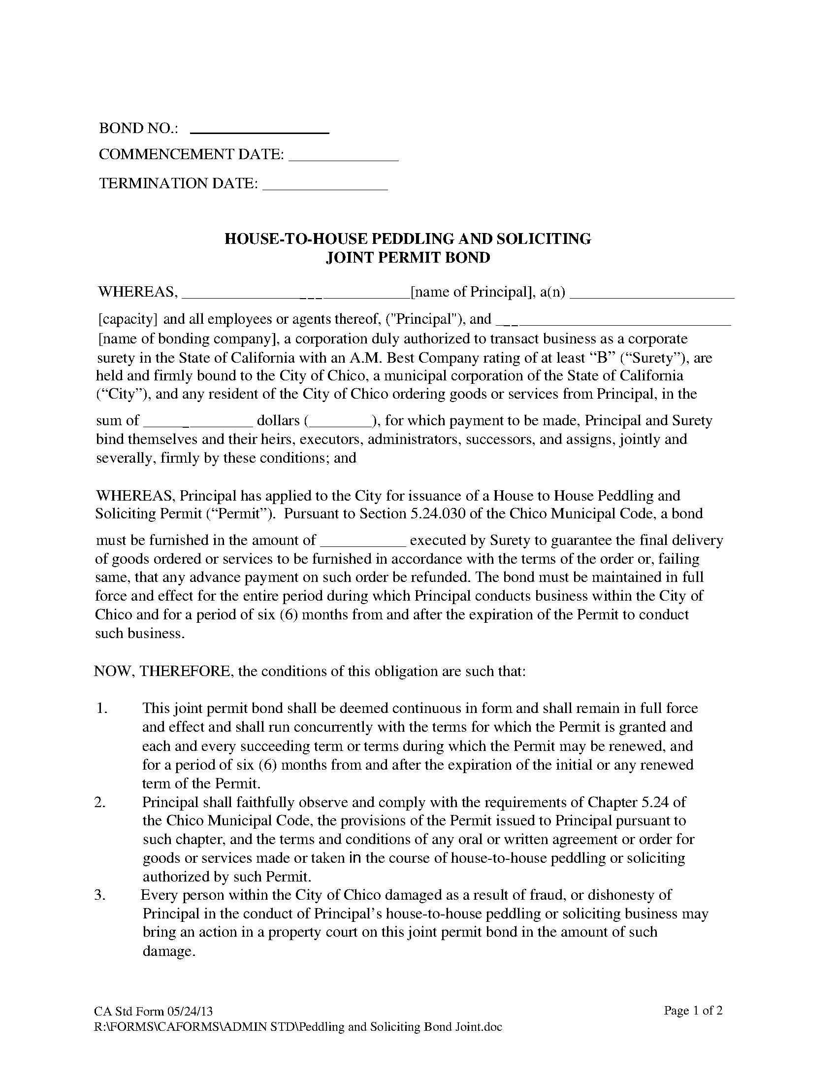
The California City of Chico House-to-House Peddling and Soliciting Joint Permit Bond starts at $100 plus shipping costs and fees. Fill out the form to buy your bond instantly!

The California Commercial Fundraiser for Charitable Purposes Bond starts at $250 plus shipping costs and fees. Fill out the form to buy your bond instantly!
BOSS Bonds is your go-to source for securing surety bonds with the most efficient, hassle-free experience and the best possible terms. From common bonds to obscure regional ones, we have you covered.
