
The Mississippi City of Tupelo Water & Light Department Utility Deposit Bond starts at $100 plus shipping costs and fees. Fill out the form to buy your bond instantly!

The Coast Electric Power Association Utility Deposit Bond starts at $100 plus shipping costs and fees. Fill out the form to buy your bond instantly!

The Mississippi Columbus Light and Water Department Utility Deposit Bond starts at $100 plus shipping costs and fees. Fill out the form to buy your bond instantly!

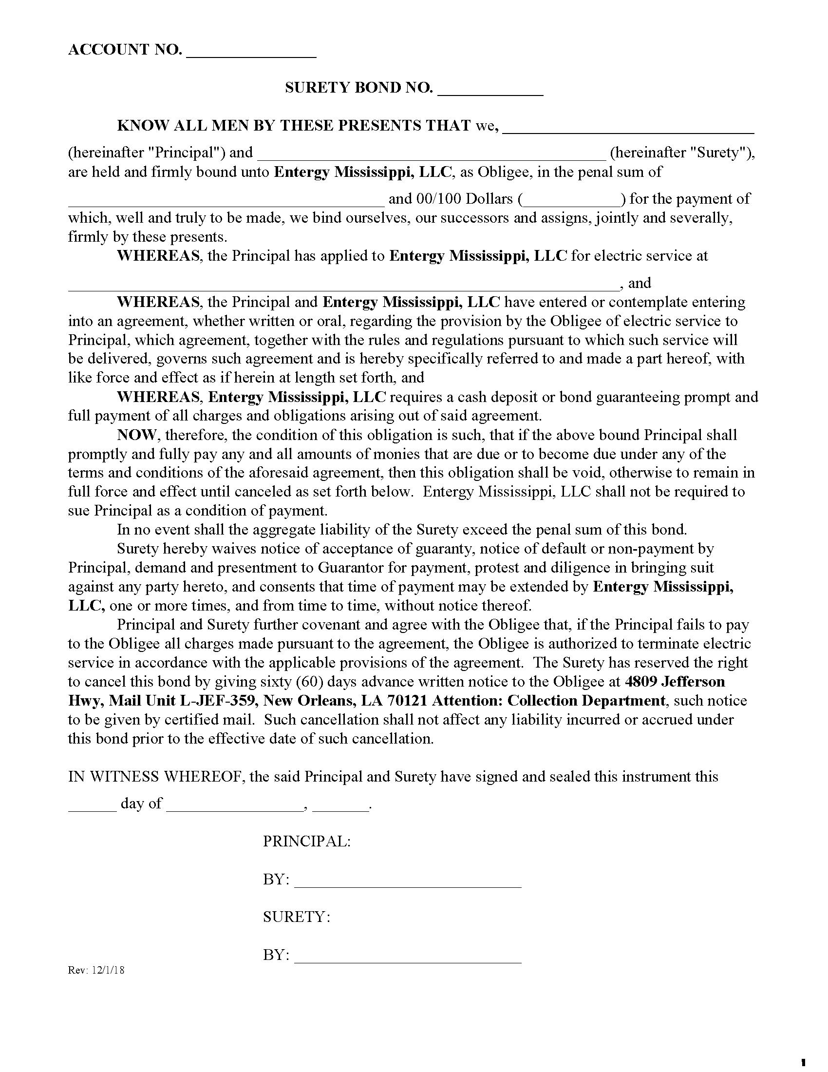
The Entergy Mississippi Inc. Utility Deposit Bond starts at $100 plus shipping costs and fees. Fill out the form to buy your bond instantly!

The North Central Electric Power Association Northcentral Mississippi Electric Power Association Utility Deposit Bond starts at $100 plus shipping costs and fees. Fill out the form to buy your bond instantly!

The Prentiss County Electric Power Association Utility Deposit Bond starts at $100 plus shipping costs and fees. Fill out the form to buy your bond instantly!

The Southern Pine Electric Utility Deposit Bond starts at $100 plus shipping costs and fees. Fill out the form to buy your bond instantly!
BOSS Bonds is your go-to source for securing surety bonds with the most efficient, hassle-free experience and the best possible terms. From common bonds to obscure regional ones, we have you covered.
